求和

Shon
顺序遍历,数组求和,求解《927. 三等分》
顺序遍历,数组求和,求解《927. 三等分》
Shon
递归回溯法,回顾求和与 reduce / array_reduce / Aggregate / accumulate 使用,求解《698. 划分为k个相等的子集》
递归回溯法,回顾求和与 reduce / array_reduce / Aggregate / accumulate 使用,求解《698. 划分为k个相等的子集》
Shon
暴力,贪心算法,三次遍历(倒序 + 正序 + 倒序),一次遍历(倒序),数字转列表,列表转数字,交换变量(临时变量 / 指针交换 / 加减法 / 解构赋值 / 位运算 / 求和减赋值法),3 解法求解《670. 最大交换》
暴力,贪心算法,三次遍历(倒序 + 正序 + 倒序),一次遍历(倒序),数字转列表(Array.from / str_split / []byte(strconv.Itoa()) / String.valueOf().toCharArray() / ToString().ToCharArray() / sprintf(s, "%d", num) / to_string / list(str())),列……
Shon
JavaScript / TypeScript / PHP / Golang / Python / Java / C# / C / C++ 最大 / 最小整数的表示,贪心和二分查找 2 种算法,求解《1413. 逐步求和得到正数的最小值》
JavaScript / TypeScript / PHP / Golang / Python / Java / C# / C / C++ 最大 / 最小整数的表示,贪心和二分查找(upper_bound / sort.Search) 2 种算法,求解《1413. 逐步求和得到正数的最小值》
Shon
等差数列求和公式:求解《829. 连续整数求和》
等差数列求和公式,求解《829. 连续整数求和》
Shon
位运算:二进制求和,求解《面试题 17.01. 不用加号的加法》和《剑指 Offer 65. 不用加减乘除做加法》
位运算,用二进制求和,求解《面试题 17.01. 不用加号的加法》和《剑指 Offer 65. 不用加减乘除做加法》
Shon
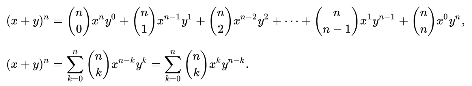
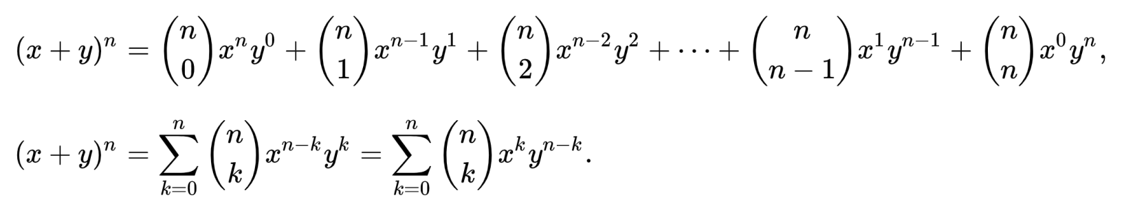
二项式定理展开求和公式
根据二项式定理,可以将 x+y 的任意次幂展开成和的形式
Shon
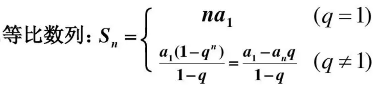
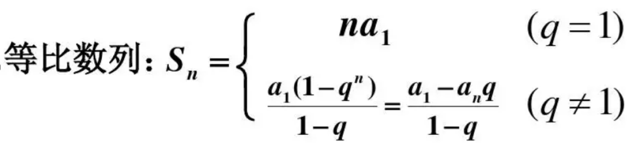
等比数列求和公式
Shon
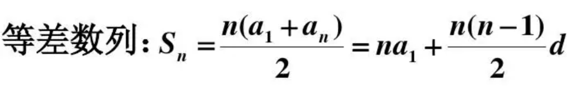
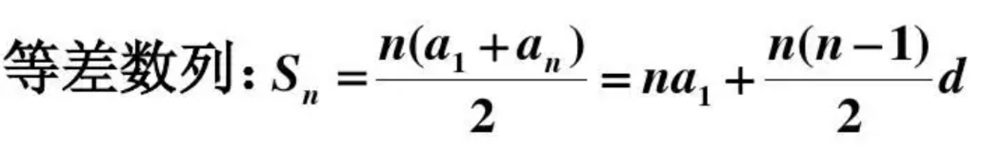
等差数列求和公式
馒头饭
代表太阳拯救你的漫果果
上海姑娘求男友,瘦一点的最好,附素颜照
男友是不是喜欢动漫都随意,放些素颜和日常向的照片,附带对男友简单的要求和自我介绍。
12下页