约瑟夫环
Shon
哈希表、队列、约瑟夫环的迭代和递归,动态规划求解《1823. 找出游戏的获胜者》和《剑指 Offer 62. 圆圈中最后剩下的数字》
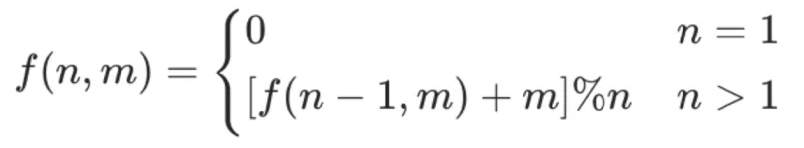
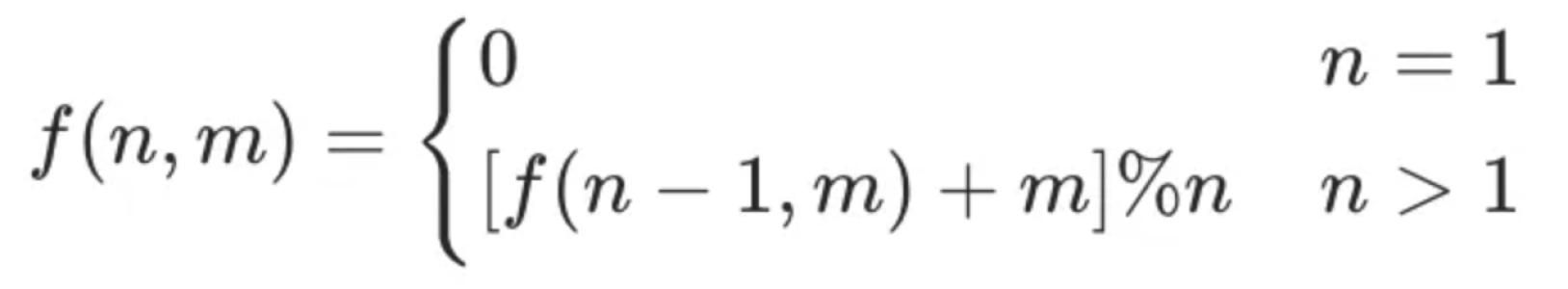
哈希表、队列、递归、迭代,用约瑟夫环的递推公式,求解《1823. 找出游戏的获胜者》和《剑指 Offer 62. 圆圈中最后剩下的数字》
Shon
Github
力扣
M站
全部原创,请勿转载
技术:
前端
后端
音视频
数据库
运维
产品
网络
应用
插件:
开源
ShopXO
数据结构:
数组
字符串
链表
栈
单调栈
队列
优先队列
最小堆
最大堆
小根堆
大根堆
小顶堆
大顶堆
二叉树
多叉树
二叉平衡树
图
并查集
字典树
树状数组
线段树
哈希表
邻接表
矩阵
LRU
回文
集合
哈希集合
位图
位集
区间
遍历:
顺序遍历
倒序遍历
前序遍历
中序遍历
后序遍历
层序遍历
螺旋遍历
中心扩散
两端收缩
技巧:
前缀和
位运算
滑动区间
正则
双指针
回调函数
交换变量
原地修改
查找:
顺序查找
二分查找
三分查找
深度优先搜索
广度优先搜索
快速选择
排序:
冒泡排序
选择排序
插入排序
归并排序
快速排序
拓扑排序
计数排序
桶排序
堆排序
基数排序
自定义排序
数学:
求和
快速幂
质数
曼哈顿距离
中位数
丑数
杨辉三角
排列
组合
容斥原理
公约数
公倍数
日期
蔡勒公式
水塘抽样
拒绝抽样
几何
博弈
数论
概率与统计
随机化
约瑟夫环
对数
算法:
递归
迭代
哈希
KMP
回溯
贪心
动态规划
归并
Brian-Kernighan算法
凸包
语言:
JavaScript
Go
PHP
SQL
Shell
Java
Python
TypeScript
C
C++
C#