集合_2
Shon
哈希集合、间隔、随机化:3 种方法求解《961. 在长度 2N 的数组中找出重复 N 次的元素》
哈希集合、间隔、随机化,3 种方法求解《961. 在长度 2N 的数组中找出重复 N 次的元素》
Shon
5 种方法交换变量,用绝对值和求模标记,用位图、掩码、哈希集合、哈希映射、正则、排序和暴力法:求解《442. 数组中重复的数据》
利用 5 种方法交换变量,用绝对值和求模标记,用位图、掩码、哈希集合、哈希映射、正则、排序和暴力法求解《442. 数组中重复的数据》
Shon
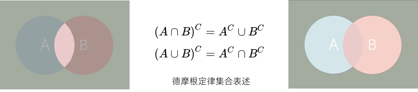
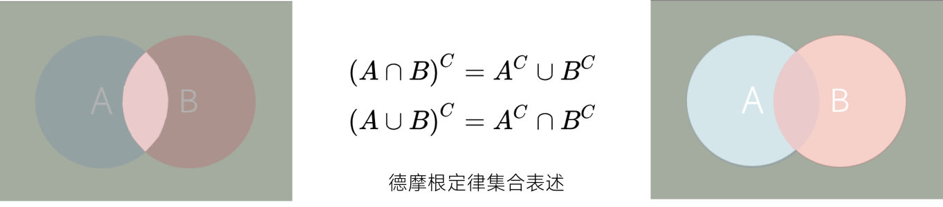
德摩根定律的集合和逻辑形式,用德摩根定律简化代码逻辑表达式
德摩根定律的集合和逻辑形式,用德摩根定律简化代码逻辑表达式
Shon
Golang 空哈希集合和 strings.Builder:求解《824. 山羊拉丁文》
用 Golang 的空哈希集合和 strings.Builder 求解《824. 山羊拉丁文》
Shon
哈希集合:求解《409. 最长回文串》
用哈希集合求解《409. 最长回文串》
Shon
Brian Kernighan 算法:求解《191. 位1的个数》《338. 比特位计数》《266. 回文排列》和《面试题 01.04. 回文排列》
Brian Kernighan 算法:用数组、哈希表、哈希集合 3 种数据结构求解《191. 位1的个数》《338. 比特位计数》《266. 回文排列》和《面试题 01.04. 回文排列》
Shon
位图(位集):求解《2166. 设计位集》
什么是位图(位集),求解《2166. 设计位集》
Shon
哈希表和哈希冲突:求解《705. 设计哈希集合》和《706. 设计哈希映射》
什么是哈希表,什么是哈希函数,什么是哈希冲突,如何处理哈希冲突,什么是在载荷因子,求解《705. 设计哈希集合》和《706. 设计哈希映射》
馒头饭
毛ふ毛
LoveLive!西木野真姬全身Q版头像
全身Q版大头风格,《LoveLive!》μ's成员西木野真姬穿着校服、水手服、女仆装、演出打歌服的头像大集合,画师毛ふ毛作品。
馒头饭
适合情侣玩的双人单机游戏
同一电脑,同一键盘,适合情侣两人玩的单机游戏游戏推荐,情侣一起冒险、流泪、害怕、猎奇,还能锻炼身体的游戏集合。
1
2
3
4
5
上页
下页